سوال ۶
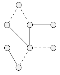
میخواهیم توپهای شکل مقابل را با رنگهای سبز٬ زرد و قرمز رنگآمیزی کنیم٬ به طوری که هر دو توپی که با خط ممتد به هم وصل شدهاند رنگ متفاوت داشته باشند٬ و هر دو توپی که با خطچین به هم وصل شدهاند همٰرنگ باشند. به چند روش میتوان این کار را انجام داد؟
- ۶
- ۹
- ۱۸
- ۱۲
- ۳
پاسخ
گزینهی (۴) درست است.
سه نقطه در بالا چپ و سه نقطه در پایین راست ناحیهی همرنگ تشکیل دادهاند که رنگ آنها با یکدیگر فرق دارد.
پس از این رنگآمیزی دو نقطه باقیمیمانند کهیکی یک حالت ودیگری دوحالت دارد.
در نتیجه در کل ۱۲ حالت خواهیم داشت.
| < سوال قبل | سوال بعد > |